Setting Standard Value When Digital Pressure Meter Verifies Pressure Gauge
(2022年06月16日)1.Variation law and reason of digital pressure gauge china indication
The reason why the indication of pressure digital meter changes when setting the standard value is that the pressure test system composed of digital pressure meter and pressure calibrator is a closed non-dynamic balance system. In the process of pressurization, due to compression, gas or liquid molecules need to absorb energy, and the molecular gap decreases slowly, so the pressure will not be stable immediately, which shows that the pressure decreases slowly and will be stable for a period of time. In the process of depressurization, due to expansion, the molecules need to release energy and the molecular gap increases, which shows that the pressure increases slightly, and the pressure will not stabilize until a period of time.
2. Standard value setting method of digital pressure meter
In view of the above reasons, when setting the standard value of the digital pressure meter during the verification of the pressure gauge, a certain amount of pressure can be added to the standard value in advance during the pressurization process. After the pressurization is stopped, the indication value of the tested pressure can be read after the pressure drops to the standard value. In the process of depressurization, the pressure value can be set a certain amount less than the standard value. When the pressure rises slightly to the standard value, the detected indication value can be read.
When setting the standard value of a digital pressure meter, it is sometimes unnecessary and time-consuming to accurately display the standard value without error. When setting the standard value, several significant digits should be reserved, which is related to the absolute value of the maximum allowable error of the tested gauge. The usual practice is that after the standard value of the digital pressure meter is the number to be tested on the dividing plate of the tested gauge, the number of digits after the decimal point where the value is zero is one more than the number of digits after the decimal point of the estimated value of the tested gauge.
The correctness of the standard value setting of the above digital pressure meter is verified below:
When the digital pressure meter displays *.00* or **.00*, the maximum possible error is
25MPa×0.05%+0.01MPa=0.0225MPa In the above formula, +0.01Mpa is because the maximum possible value is *.009 or **.009 when the digital pressure meter displays *.00* or **.00*, and this is the maximum additional error at this time.
The maximum allowable error of the pressure gauge is
16MPa×1.6%=0.256MPa
1/4×0.256MPa=0.064MPa
0.0225MPa<0.064MPa。
The above verification complies with the provisions that the absolute value of allowable error shall not be greater than 1/4 of the absolute value of allowable error of the tested general pressure meter.
For precision pressure gauges of grade 0.25 and 0.4, after the standard value of the digital pressure meter is the number to be checked on the dividing plate of the tested meter, the following values must be zero.
The following is the analysis and calculation that how many "0" should be reserved after the decimal point when setting the standard value of digital pressure meter:
Through the above analysis, the relationship between the number of "0" and the possible additional error is: additional error = 1x10-n, where n is the number of "0".
The upper limit of digital pressure meter is Pbs and the accuracy grade is Gb; The upper measuring limit of the tested pressure gauge is Ps and the accuracy grade is G. According to the verification regulation of pressure gauge
Where n is a higher integer.
Apply Formula (1) to the above 16MPa and 1.6 pressure gauges for verification and calculation
Based on the principle of taking high instead of low integer, take n = 2, and equation (1) is correct.
In formula (1), n shall not be equal to the number of "0" that can be displayed by the digital pressure meter. Because when all the digits display zeros after the decimal point, the maximum error of the digital pressure meter is its maximum allowable error. For example, the above 25MPa, 0.05 digital pressure meter can display up to 3 zeros after the decimal point, i.e. **.000. At this time, the maximum possible error is 25MPa×0.05% = 0.0125MPa without adding 0.001Mpa.
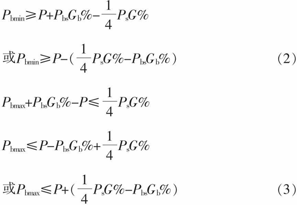
When verifying a general pressure gauge with a digital pressure gauge, due to the large allowable error of the pressure gauge, the standard value can be set within a certain range, as shown in figure 1.
Where: P -- scale number of pressure gauge hold point; Pbmin -- the minimum value that can be set for the standard value of general pressure gauge verified by digital pressure meter; Pbmax -- the maximum value that can be set for the standard value of general pressure gauge verified by digital pressure gauge.
It can be seen from equations (2) and (3) that when verifying general pressure gauges, the standard value of digital pressure gauge can be
As one of pressure gauges suppliers, we will do our best to meet all the needs of customers.
- このできごとのURL:


コメント